本文针对户外全彩LED 显示屏的亮度和色度检测, 提出了一种基于数字图像处理技术的检测新方法。首先对采集的LED 显示屏图像进行预处理; 然后通过水平与垂直投影来确定LED 像素点的位置及亮度、色度的计算区域; 最后记录亮度和色度不一致的LED 像素点, 以便进行后续校正。实验表明, 该检测方法可实现对户外全彩LED 显示屏亮度和色度的检测及后续的校正, 大大提高LED 显示屏的检测速度和显示质量。
LED( Light Emitting Diode, 发光二极管) 是当今世界发展最为快速的产业之一。LED 高亮度、低能耗、长寿命的特点使得LED 显示屏在户外平板显示领域优势明显。但是, LED间存在的光、电学特性差异通常会引起LED 显示屏亮度、色度不一致, 进而破坏显示屏的白平衡, 降低显示品质, 严重时还会造成"花屏"、"马赛克"等问题。在解决这一问题时, 以往的研究主要集中在单个LED 的光电学特性差异上面, 目的在于找到RGB( 红、绿、蓝) 三基色LED 合适的补偿曲线以修正其驱动控制参数来改善显示效果。这类检测和校正方案能较好解决“花屏” 、“马赛克"等严重问题。可是, 即便是同一基色、同一批次的LED 间也存在特性差异, 且LED 全彩显示屏包含的LED 像素点多, 在生产、制造的过程中都难免会出现各种问题, 将导致某个LED 像素点不亮, 或产生亮度、色度差。所以, 这类检测方案对单个LED 像素点的校正效果较差, 显示效果改善有限。作为补偿方案, 人工目测也只能检测出个别差异明显的LED 像素点, 且对检测人员的调试经验要求较高; 同时, LED 的高亮度也加大了检测人员的工作强度, 致使检测效率低。
因此, 本文从户外全彩LED 显示屏整体着手, 运用数字图像处理的方法对显示屏上的每个LED 像素点进行快速检测,目的在于提高检测速度和准确度, 从而改善户外全彩LED 显示屏的显示效果。
1 检测原理
如图1 所示, 计算机通过图像采集/ 控制模块将CCD( Charge Coupled Devices, 电荷耦合器件) 传感器采集到的LED显示屏的显示图像进行处理。处理过程主要包括LED 像素点的定位和亮度、色度的快速检测两部分。

图1 检测系统组成原理图
1. 1 LED 像素点的定位
要确定LED 像素点的位置, 首先要对采集的LED 显示屏图像进行二值化。由基于直方图的图像阈值分割方法可以知道: 图像由可以分离的具有不同灰度等级的一种或多种物体和背景组成。根据这一原理, 图像的直方图中将会呈现多个峰值, 每个峰值对应一种物体或是背景, 要将不同的物体分离开, 可以以谷值点为阈值来划分相邻峰值。
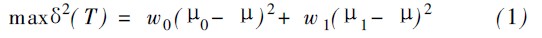
由于LED 显示屏的点阵特性, 实际检测中发现采集的图像( 如图2( a) 其灰度直方图( 如图2( b) ) 双峰分布特征十分明显。对于这类情况, 采用式( 1) 的最大方差阈值法来自动选择分割阈值, 不仅效果好, 而且速度快。

式中T 表示分割阈值, w 0、w 1 分别表示灰度值小于T、大于T 的像素点在图像中所占的比重, 、“0”、“1” 分别表示图像整体的灰度平均值、灰度值小于T 的那部分图像的灰度平均值、灰度值大于T 的那部分图像的灰度平均值。
利用式( 1) 计算出的阈值T 对图2( a) 的灰度图像进行二值化处理后得到图2( c) , 再对图2( c) 分别进行水平和垂直投影, 就可以计算出LED 像素点在显示屏上的位置。

2( a) 采集的蓝色图像 2( b) 灰度直方图 2( c) 二值化图像
图2 定位处理结果
1. 2 LED 像素点亮度、色度的快速检测
借鉴成功用于PAL( Phase Alternating Line, 逐行倒相制) 制式的电视系统中的YUV 颜色模型( Y 表示亮度, U 和V 是构成彩色的两个分量) , 笔者将图像中采用的RGB 颜色模型转换成式( 2) 的颜色模型, 可以方便、快捷地计算出各像素点的相对亮度值。

根据色度学中的加色法原理?1%, 户外全彩LED 显示屏由RGB 三基色LED 构成显示屏上的每个像素点, 通过控制每个像素点中的某基色LED 的发光强度, 就可以配出各种颜色,在显示屏上显示出丰富多彩的彩色图像。在CIE( 国际照明委员会) rg 色度图中, 色度坐标反映的是三基色各自在三刺激值总量中的相对比例, 一组色度坐标表示了色相相同和饱和度相同而亮度不同的那些颜色的共同特征。
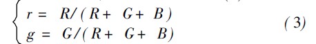
而LED 显示屏上的每个像素点总是能在待测图像中找到对应的区域。因此, 可通过其对应区域内图像数据中的RGB 值来确定该像素点的色度, 其计算公式如式( 3)。

设测得的LED 像素点的亮度值为Y1, 色度坐标为( r 1,g1) , 分析Y1、( ri , g1) 的离散性, 就能确定LED 显示屏上亮度和色度不一致的LED 像素点。
为验证检测方法的有效性, 笔者用Ava Spec- 2048 微型光谱仪对同一户外全彩LED 显示屏的单元模块进行了亮度和色度的对比测试。为减小计算量和方便调试, 笔者采用了CIE rg 色度坐标系, 这与光谱仪采用的国际通用的CIE xy 色度坐标系不同。因此, 测试时要对色度坐标进行转换, 如式( 4) 所示。

2 处理结果及分析
笔者利用CCD 图像传感器采集图像, 对三合一表贴户外全彩LED 显示屏的单元模块中的LED 像素点进行了算法测试。
以蓝色为例, 图2( a) 为CCD 图像传感器采集的三合一表贴单元模块显示的蓝色图像。为更好地验证该检测方法的有效性, 笔者对该LED 显示单元模块的某些像素点进行了遮蔽处理, 形成了图2( a) 中的黑色部分。

图3 麦克亚当颜色宽容量椭圆图
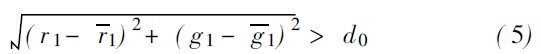
由于LED 是自发光体, 并且发光强度在一定范围内与提供给它的驱动电流成正比, 因此在驱动电路的设计、制造和调试过程中, 通过合理控制驱动电流, 可以尽量减小亮度差,以平均值作为标准值来计算, 应小于15%至20%?1- 2%.因此, 为方便后续的亮度校正, 实验对偏离整体亮度平均值5%以上的LED 像素点进行定位和统计, 以求将这些偏离较大的像素点的亮度差值控制在10%以内。在进行色度检测时, 本文参照麦克亚当( D. L. MacAdam) 对颜色宽容度进行量化的方法( 如图3) , 对各LED 像素点的色度坐标进行了统计, 求出这些色度坐标的几何中心, 并记录下与该几何中心的欧式距离大于d0 的LED 像素点( 不同颜色d0 取值不同) , 如式(5)。

表1 为检测结果( 以蓝色为例) , 其中亮度值Y1 为相对亮度, 正比于最大亮度255; 色度坐标为( r 1, g1)。
表1 检测结果统计表(蓝色)

笔者用AvaSpec- 2048 微型光谱仪对同一单元模块进行了对比测试, 其测试结果如表2 所示。对比可知, 本文采用的检测方法是有效、可行的, 且检测速度快、精度高。
表2 AvaSpec- 2048 微型光谱仪测试结果(蓝色)

3 结论
本文运用CCD 图像传感器及数字图像处理技术对户外全彩LED 显示屏的亮度、色度均匀性评价提出了一种新的快速检测方法, 较好地保证了显示屏上各LED 像素点显示效果的一致性, 为后续的亮度、色度校正工作提供了定量调试的参考依据, 能大大提高户外全彩LED 显示屏的检测效率和显示质量。下一步将继续开展环境光对亮度、色度检测的影响及克服方法, 以及亮度、色度自动校正驱动电路的研究, 最后实现对户外全彩显示屏上每个LED 像素点的亮度、色度值的精确检测和校正。