引言
近年来,在LED器件系列中的COB(Chip on Board)系列应用高速增长。目前市面上COB模块封装主要使用荧光胶覆盖芯片和电极,形成封装保护和初步光学结构。COB封装的LED模块在基板上安装了多颗LED小芯片,使用多颗芯片不但能够提高模块的亮度,而且有助于实现LED芯片的合理配置,通过降低单颗LED芯片的输入电流量以确保高效率。从成本和应用角度来看,COB成为未来灯具设计的主流方向之一。
功率密度随着模块中芯片数量的增多而增大,如果采用的散热方式不当,急剧积聚的热量不仅影响LED的电子性能,也影响LED的亮度及颜色,随着芯片温度升高,光谱发生红移,发光效率下降。研究表明,高分子复合材料的混合物导热系数随着掺杂的颗粒浓度升高而增大。提高荧光胶的浓度,可以有效提高胶体的热导率。
此外,不同的封装结构对模块的取光效率有重大的影响。特别地,由于封装胶体折射率与空气的折射率相差过大,在界面上发生的全发射将严重影响器件整体的光萃取。因此,相对于常用的平面结构,采用外封自由曲面透镜结构,可以明显提高模块的光萃取,提高出光效率。同时,COB封装还可以实现特定光学分布。
本文提出了一种基于保形涂覆技术以及自由曲面透镜阵列的新型COB封装结构方案。通过保形涂覆技术在芯片表面涂覆一层荧光粉层,再对应每颗芯片模具灌封一个经过合理设计的自由曲面透镜,提高模块的光萃取并实现特定的光学分布。
新型COB封装结构
现在市场上COB的结构种类齐全,主要都是在完成管芯安放以及金线键合的基板上灌封荧光胶,对管芯以及金线等形成机械保护。同时通过调控荧光胶量,形成平面或圆弧面的光学结构。图1为市面上主流COB封装结构示意图。由图1我们可以知道,这类COB封装结构通过大面积覆盖荧光胶,形成面光源,整体发光。

由于该种COB技术封装的LED模块光源结构简单,制作工艺简单,光线柔和,因此在市场上使用非常广泛,但也存在着一些问题。
第一,虽然通过控制胶量,使荧光胶中间稍微隆起,形成凸透镜提高出光效率。但光线在胶体和空气界面仍然存在反射问题。尤其对远离中心的芯片,凸透镜的作用更加微弱。
第二,灌封胶是由有机封装材料(如硅胶等)以及荧光粉按照一定比例混合而成,散热效果较差。实验中,在配有散热器的前提下,正常点亮的COB模块胶体表面的温度高达几十摄氏度,甚至某些功率较大的器件高达一百多摄氏度。
第三,正常工作时,由于胶体有较高的温度,对硅胶以及荧光粉造成严重的影响。随着温度的升高,硅胶内部的热应力增大,硅胶的折射率随之降低,从而影响器件的光学分布,并降低出光效率。
针对上面提到的问题,我们提出一个新型的COB封装结构方案,其结构见图2。

该种结构是在已完成芯片安放以及金线键合等前道工序的基板上,通过保形涂覆技术在芯片表面覆盖一层荧光粉(荧光胶),然后再在每个芯片上外封经过特定设计的自由曲面透镜,可以实现特定的光学分布(如近朗伯分布、均匀照明等),并且避免光线在硅胶与空气界面的全反射发生,提高器件的光萃取。同时,由于每一个自由曲面透镜相邻很近,且光学分布是一致的,通过众多自由曲面透镜的光场叠加,在远场观测时,不会出现点光效应。
在器件的色温一定的前提下,采用保形涂覆技术的荧光胶的浓度要远远高于普通COB封装结构中的荧光胶浓度。因此,新型结构的荧光胶的导热性能有很大的提升。同时,由于荧光胶仅涂覆在芯片表面,所覆盖的范围很小,荧光粉工作所产生的热量可以快速通过芯片传到基板进行散热。从而避免胶体温升对荧光粉以及硅胶的物理特性造成影响。
自由曲面透镜光学设计
理想情况下,芯片的出光为朗伯光源且为点光源。忽略硅胶材料的吸收以及硅胶与空气界面的反射、漫透射、漫反射等因素,仅考虑硅胶透镜的曲面以及芯片与透镜的相对位置等关键因素对LED出光分布的影响。
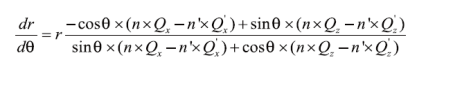
通常设计该类外封一次光学透镜,采用如图3所示的结构。假定光源(芯片)位于坐标原点O,以芯片发光面为XY平面,芯片平面的法线方向为Z轴。光线经过自由曲面P(r,θ)折射后,符合我们所需的光学分布。根据能量守恒定律以及Snell折射定律,通过求解微分方程,从而计算出自由曲面P(r,θ)。
因为整个透镜为旋转对称,故只考虑二维情况,以XZ平面为例。矢量形式的折反射定理可以表示为:

其中,n、n’分别为硅胶透镜以及空气的折射率;N为自由曲面在光线入射点的单位法向量,而Q、Q’分别为入射和出射光线的单位矢量。
自由曲面P(r,θ)的法向微分形式为:

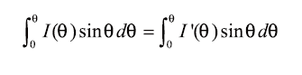
根据能量守恒定律,光源的辐射通量与经过自由曲面后的出射光通量相等,即:

其中,I(θ)、I’(θ)分别为光源光强分布与折射后出光的光强分布。
一般光源设定为朗伯体光源,即:I(θ)=I0cosθ
出射光的光强分布,根据不同的实际需要,有不同的表达形式。例如,类朗伯体光源,则:I’(θ)=I’0cosmθ
其中,m由发散半角θ1/2决定:m=-ln2/ln(cosθ1/2)
如果出射光要在目标面上实现大角度均匀照明,根据余弦三次方定理可得:I’(θ)=E0·L/cos3θ
其中,E0为目标面的平均照度,L为光源与目标面的距离。

由图3可知,初始条件为P=P0(R0,0),R0为初始透镜高度。根据初始条件并联立方程(2)~(5),或者联立(2)~(4)以及(7),运用龙格- 库塔法或其他数学算法可以解出一系列数据点P0(R0,0),P(R1, θ1),……,P(R n’, θn)。利用三维建模软件将点集拟合为曲线,建立三维透镜模型。最后导入Tracepro软件可以获得我们所期望的光学模型,经过设置参数并进行仿真模拟优化可以得到我们所需的配光效果。
实验与结果分析
(1)仿真实验
这里以在目标面实现均匀照明为例。假设每个芯片均为点光源,功率为1W。9颗芯片成3×3阵列,行列距均为1.25mm。透镜的初始高度R0=0.4mm,折射率为1.5,在15mm的距离外实现均匀照明,照明的范围为直径60mm的圆。经过计算得到的单个自由曲面透镜形貌如图4(a)所示。
我们把计算得到的数据点集在建模软件SolidWorks里面拟合为曲线并建立如前面参数设定的COB透镜阵列模型。将该COB透镜的三维模型导入 Tracepro软件进行仿真,根据上面假定条件设置透镜的折射率以及芯片发光特性等相关参数,并在距透镜15mm外建立100mm×100mm的接收面。为保证接收面上照度分布的准确性,我们使用Tracepro软件对透镜追迹150万条光线,得到COB透镜阵列的目标光场分布如图4(b)所示。

从图4(b)可以看出光线的追迹模拟结果达到了预期结果,绝大部分的光线均照射在直径60mm的圆形区域内。单个自由曲面透镜的结构能量利用率为 96%,COB自由曲面透镜整列的结构能量利用率高于90%。可见,采用自由曲面透镜结构后,其能量利用率远高于现有的平面结构以及微凸结构的利用率。
一般照明的均匀度被定义为目标面内最小照度值与最大照度值之间的比值:

在模拟结果图4(b)中,均匀度为98.3%。
(2)实测实验
为了验证上述结构的可行性,根据上述仿真结果,我们进行了实验论证。我们采用0.889mm的芯片,9颗芯片成3×3阵列,行列距均为2.8mm,外封经过优化的自由曲面透镜结构,制得的实物如图5(a)所示。将器件点亮,在远离光源15mm外的接受屏的光斑如图5(b)所示。

从图5(b)可以看出,绝大部分光线落在预定的直径60mm的圆形区域内,光斑均匀。实际效果与前面仿真结果非常吻合。
结论
文章介绍了新型LED模块COB封装的结构特点以及自由曲面透镜的设计方法。
通过保形涂覆技术完成荧光粉涂覆,有利于模块整体散热,避免胶体温升对荧光粉以及硅胶的物理特性造成影响。在已知光源发光特性以及所需的照明要求的前提下,根据能量守恒定律以及Snell方程建立方程组,运用数值解法直接得到自由曲面。依据芯片的间距等参数,在其上外封计算得到的自由曲面透镜阵列,从而有效避免光线在硅胶与空气界面的全反射的发生,并能实现特定光学分布。
光学仿真结果表明,该方案能取得较好的设计效果,可以实现近朗伯体出光以及均匀照明等出光效果,且结构出光效率高于90%,高于常用的平面结构。实物光场分布的实验结果与仿真效果非常吻合。理论上,此结构设计方案适用于所有类型的LED,设计时通过更改程序中对应参数可得到所需的出光光学分布,因而该结构具有广阔的应用范围。